分布积分是什么样的
分布娑授赔那积分法是微积分学中的一类重要的、基本的计算积分的方法。
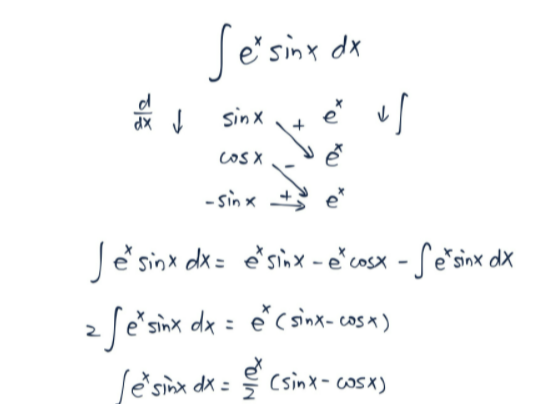
分布积分法是由微器皆阄诟分的乘法法则和微积分基本定理推导而来的。它的主要原理是将不易直接求结果的积分形式,转化为等价的易求出结果的积分形式的。
常用的分布积分的根据组成被积函数的基本函数类型,将分部积分的顺序整理为口诀:“反对幂三指”。分别代指五类基本函数:反三角函数、对数函数、幂函数、三角函数、指数函数的积分。

分部积分法典型模式:
一般地,从要求的积分式中将凑成dv是容易的,但通常有原则可依,也就是说不当的分部变换不仅不会使被积分式得到精简,而且可能会更麻烦。分布积分法最重要之处就在于准确地选取dv,因为一旦dv确定,则公式中右边第二项中的du也随之确定。