高等数学第八章复习资料
第八章向量代数与空间解析几何
一、向量

(一)知识点
1.概念:既有大小又有方向的量
表示:

或

(几何表示)向量的大小称为向量的模,记作


单位向量:模为1的向量。

模

4.线性运算:
向量加法(减法)

数乘:

(1)运算律:交换律、结合律、分配律
1.数量积


(3)运算规律:交换律

分配律

结合律

1.向量积
(1)

方向满足右手法则(同时垂直于向量



4)运算律反交换律

分配律

结合律

(二)典型例题
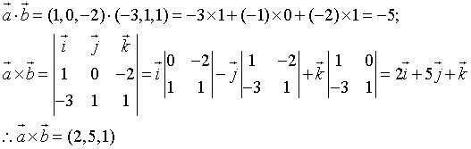
例1.设


则

=,

=;

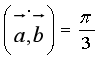
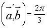
例2 设

则有(A )
A.

B

C

D

例3设向量


.若

则m为(A )
A.4 B.3 C.-2 D.1